What Must Be the Value of T in Order for the Rocket to Reach the Required Altitude?
You should upgrade or employ an alternative browser.
- Forums
- Homework Help
- Introductory Physics Homework Aid
A rocket physics question
- Thread starter GZM
- Start appointment
-
- Tags
- assignment homework mastering physics physics
Homework Argument
Problem : During your summer internship for an aerospace visitor, yous are asked to design a pocket-size research rocket. The rocket is to be launched from rest from the earth''due south surface and is to achieve a maximum height of 990 grand above the earth''s surface. The rocket''s engines give the rocket an upward acceleration of 16.0 one thousand/s2 during the time T that they fire. After the engines shut off, the rocket is in gratuitous fall. Ignore air resistance.
What it asks for : What must be the value of T in social club for the rocket to reach the required altitude?
Homework Equations
Kinematic equations : d=vi*t+(1/2)*a*t^2
vf^2 = half-dozen ^2 + 2*a*d
vf = half-dozen + at
The Attempt at a Solution
My effort at the solution was that i thought at the noon of the height 990 m the final velocity would be 0,
since they give us dispatch, distance and I can guess that vf is cypher
Step one ) i used the equation vf = vi+at, i would solve for t and it would be t = -Vi/16
Step 2 ) i would use vf^ii = half dozen^2 + 2ad but when I isolate 6 it would get negative and I can't square root, so
I am stuck at this step, please assistance
Answers and Replies
This problem is a piddling different from most projectile problems, in that at launch, the rocket's velocity is zero and when the rocket reaches its maximum distance, its velocity is besides goose egg.Homework Statement
Problem : During your summertime internship for an aerospace company, yous are asked to pattern a small inquiry rocket. The rocket is to exist launched from remainder from the earth''s surface and is to achieve a maximum tiptop of 990 k above the world''southward surface. The rocket''southward engines give the rocket an upward dispatch of 16.0 one thousand/s2 during the time T that they fire. After the engines shut off, the rocket is in free fall. Ignore air resistance.What it asks for : What must be the value of T in order for the rocket to accomplish the required altitude?
Homework Equations
Kinematic equations : d=vi*t+(one/2)*a*t^2
vf^two = 6 ^2 + ii*a*d
vf = vi + atThe Attempt at a Solution
My attempt at the solution was that i thought at the noon of the elevation 990 m the final velocity would be 0,
since they give us dispatch, altitude and I can guess that vf is zero
Step ane ) i used the equation vf = vi+at, i would solve for t and it would exist t = -Six/16
Pace ii ) i would use vf^2 = half dozen^2 + 2ad but when I isolate Half-dozen it would become negative and I tin can't square root, and then
I am stuck at this step, delight assistance
The acceleration of sixteen m/due south2 demand non exist practical during the entire duration of the upward flying in society for the rocket to reach an altitude of 990 m. Subsequently the rocket motor shuts off, the rocket will continue to travel upwardly until gravity reduces its ascension velocity to aught, afterwards which the rocket costless falls back to earth.
Oh, i got the whole concept wrong, so how would I set upwardly this equation I did something like this, would this be somewhat advisable,This problem is a fiddling different from most projectile problems, in that at launch, the rocket's velocity is aught and when the rocket reaches its maximum distance, its velocity is also zero.The acceleration of 16 thousand/southtwo demand not be practical during the unabridged duration of the upwards flight in club for the rocket to attain an altitude of 990 m. After the rocket motor shuts off, the rocket volition go on to travel upwards until gravity reduces its rise velocity to nothing, subsequently which the rocket costless falls back to world.
Hello, thank you for responding so you say I need ii equations for each phase so i presume my diagram is correct, could yous give me an idea which equations I could possibly utilize and equate to each other to solve for T?You demand two equations, one for each phase.
I don't understand stream of consciousness type of writing. Information technology indicates a lack of focus and the clarity needed for analysis of a problem.Oh, i got the whole concept wrong, then how would I ready this equation I did something similar this, would this exist somewhat appropriate, View attachment 89798
You know that there will be 2 phases to the rocket'southward flight:
one. Rocket takes off, flies upward a certain distance d1 while accelerating at 16 m/southward2
2. When the rocket reaches d1, it stops accelerating and its velocity carries upward a further distance d2 until its velocity reaches 0.
Obviously, di + d2 must equal 990 yard.
Write an equation for each phase of the flying.
I don't understand stream of consciousness type of writing. It indicates a lack of focus and the clarity needed for analysis of a problem.Yous know that there will be ii phases to the rocket'southward flight:
i. Rocket takes off, flies upward a certain distance d1 while accelerating at 16 grand/southward2
2. When the rocket reaches d1, it stops accelerating and its velocity carries up a further distance d2 until its velocity reaches 0.Apparently, dane + d2 must equal 990 m.
Write an equation for each phase of the flight.
I am so sorry if I seem like I don't really care, but I exercise I am just very confused and really tired plus these things don't come naturally to me :[ that is why I am seeking help, so I really appreciate yous helping me!
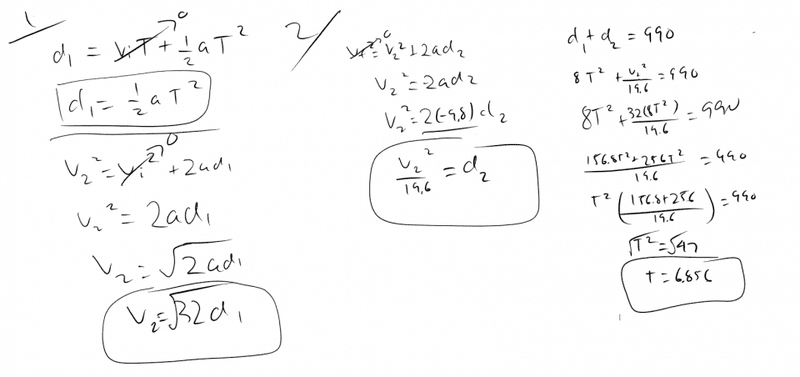
Now with what you lot take helped me with me I have discovered these equations and I substituted them in do you think I have washed information technology correctly? :D ( the V2 comes from the diagram I had earlier is information technology nevertheless a correct approach to the problem?
Looks adept. I get your time for the duration the rocket motor is on.
Haha thanks I really appreciate the help, new to the forum only I love it then much already, y'all guys here really help guide me through without really giving me the answer merely what I needed XD
Related Threads on A rocket physics question
- Concluding Mail

- Final Post
- Last Post

- Terminal Post

- Last Post

- Last Mail service
- Last Post

- Terminal Post
- Last Post

- Concluding Postal service
- Forums
- Homework Help
- Introductory Physics Homework Aid
broomfieldsountood.blogspot.com
Source: https://www.physicsforums.com/threads/a-rocket-physics-question.836140/
0 Response to "What Must Be the Value of T in Order for the Rocket to Reach the Required Altitude?"
Post a Comment